针对传统模型难以对具备时变特性的城轨牵引供电系统进行精准模拟的问题,总结分析了传统建模在预设负荷、固定参数及离线计算等方面的缺点,提出了一种基于数字孪生技术的模型与数据混合驱动建模方法;并结合城轨牵引供电系统实际特点,设计了数字孪生模型的运行架构及计算算法,建立信息交互体系对系统模型负荷进行精确输入,采用基于群智能优化的混合闭环校正算法实现模型参数的主动校正。
理论分析及仿真结果表明:系统参数的全局优化校正可以通过基于群智能优化的闭环校正算法实现,采取子系统参数辨识和整体参数校正的混合校正策略有助于减小参数的寻优范围,降低群智能优化在系统参数校正的计算时间成本,保证模型对于参数变化的校正响应速度;具备负荷精确输入和参数主动校正能力的数字孪生模型,其潮流计算结果高度逼近采样数据,相比传统模型大幅提升了潮流计算的精度,对于牵引供电系统运行决策及设计优化具有实际意义。
0引言
牵引供电系统作为城市轨道交通系统的重要组成部分,负责为运行列车提供能源与动力[1]。电力潮流是牵引供电系统运行的重要特性,是系统容量配置、节能优化以及运行方式编制的主要依据,受系统复杂性和安全因素约束,牵引供电系统潮流分析一般通过模型仿真的方式实现。现阶段牵引供电系统模型主要由牵引计算模型及潮流计算模型组成[2]。其中牵引计算模型是牵引供电系统的负荷模型,用于模拟列车运行状态,计算列车在各时刻下的功率及位置信息;潮流计算模型是牵引供电系统的潮流模型,以牵引计算模型的结果作为负荷输入条件计算系统潮流。
文献[3-6]分析了列车运行的动力学方程,基于质点模型推导了不同牵引策略下列车的牵引计算方法;文献[7-8]建立了全线多车的牵引计算模型,根据预先设置的线路条件、列车载荷及发车间隔,能够计算线路稳定运行时各列车周期性的位置及功率信息;文献[9-11]将列车运行时刻表添加为牵引计算条件,能够模拟包括线路发车、收车在内的全运行过程,提升了牵引计算模型的计算范围。但目前牵引计算模型结果都是在预设运行条件下得到的理想结果[6-9],而城轨列车的载荷和运行时间受乘客流量、人工驾驶经验、轨道湿滑程度等多种不确定因素干扰,预设的列车载荷及运行时刻图等条件和实际运行情况并不相符,因此牵引计算模型结果通常与真实情况偏差较大,难以反映牵引供电系统负荷的实际变化情况,间接造成潮流计算结果不准确。潮流计算模型通常基于等效电网络模型计算牵引供电系统的节点电压及功率,文献[12-13]分别对牵引供电系统中主变电所、牵引变电所、接触网及电力传输线等关键组成部分建立了等效电路模型,并验证了各子模型的有效性;文献[14-17]将各子模型按系统拓扑连接构成电网络模型,并采用交直流混合迭代方法对系统潮流进行求解,该方法编程方便,收敛性好,但结果精度依赖电网络模型中各部分等效电气参数的设置[18-19]。然而,当前潮流计算模型采用固定参数的离线计算方法,即便精准测量或辨识每个子模型的参数,在真实系统参数发生变化时模型也不具备自主感知及校正的能力,模型参数的不准确必然造成潮流计算结果的误差累积,因此模型参数的自主校正对于保证潮流计算的精度至关重要。
针对城轨牵引供电系统传统模型因预设负荷、固定参数的离线建模方式导致潮流计算不准确的问题,本文提出了一种数字孪生建模方法,设计了数字孪生模型的运行架构及计算算法,通过信息交互和群智能算法实现了系统模型的负荷精确输入及参数主动校正。在所建立的数字孪生模型中,精确的负荷历史数据及潮流计算模型给牵引供电系统的潮流分析及优化提供了更精确有效的支撑:基于校正参数后的潮流计算模型,可以结合变运行条件的牵引计算模型,分析不同列车运行策略下的系统潮流状况,为系统运行方式编制等应用提供参考,辅助运营调度管理;基于直接采集的负荷历史数据,结合不同结构及参数的潮流计算模型,可以分析系统的极限运行能力,应用于系统在容量配置等方面的设计及优化。
1牵引供电系统数字孪生模型
针对传统牵引供电模型离线运行固有误差较大的问题,本文提出了一种数字孪生建模方法,采用实时交互、数据驱动、自主校正的在线运行方式,以减小模型仿真的固有误差。
1.1数字孪生建模
数字孪生(digital twin,DT)最早于2002年由美国密歇根大学的Michael Grieves教授提出[20],集成了多学科、多物理场、多尺度、多概率的仿真过程,能够通过实测、数据交互等方式实时感知系统状态,实现真实系统在虚拟空间的高精度建模[21-23]。十余年来,随着物联网、高速通信、大数据分析、智能算法等技术的蓬勃发展,数字孪生从理论到技术均有足够的支撑,并开始逐渐应用于工业、医学等各种领域。不同于传统仿真,数字孪生先进的技术体系使模型具备实时交互、数据驱动、自主调整等显著优点,本文应用数字孪生思想,建立了牵引供电系统数字孪生模型,如图1所示。

图1牵引供电系统数字孪生模型
牵引供电系统数字孪生模型采用在线运行方式,相比于传统模型,其优势和特点主要体现在:
1)在模型与真实系统之间建立实时信息交互传输,能够根据采集的状态数据实时感知真实系统,满足模型自身对数据的需求。
2)采用“模型驱动+数据驱动”的混合建模技术,其中模型驱动体现在系统潮流仍基于等效电网络模型进行计算,保留了模型的物理特性;数据驱动体现在模型可以根据采集到的列车位置及功率信息直接作为负荷输入,避免了牵引计算模型难以反映牵引供电系统负荷实际变化情况的问题。
3)采用闭环校正方式,以牵引供电系统模型为校正对象,真实系统潮流状态实测值为校正期望,模型仿真结果为反馈值,系统参数为校正量,自主校正模型参数,解决系统演化导致参数不准确而引起的潮流计算误差。
4)采用“子系统参数辨识+整体参数校正”的校正方法,先由子系统参数辨识快速找到接近真实系统的参数初值,再进行整体的参数校正。相比于直接进行整体校正,能够大幅提升系统参数校正的响应速度和收敛性,校正算法将于第3章进行详细讨论。
1.2数字孪生架构设计
结合数字孪生模型通用架构,本文设计了城轨牵引供电系统数字孪生架构,包含物理层、感知层、传输层、数据层、计算层及应用层6大组成部分,如图2所示。

图2牵引供电系统数字孪生架构
牵引供电系统数字孪生架构中,物理层是指数字孪生建模的物理对象,即真实的牵引供电物理系统;感知层基于传感及数据采集技术,采集多种表征物理层电气特征的状态量,并通过传输层将采集数据高速上传至数据层服务器。感知及传输的状态信息包括:牵引供电系统中各牵引变电所的直流端电压Ui、端电流Ii、馈线电流Ifi,以及列车的功率Ptrain、位置xtrain等;数据层将原始采集数据存储到云端数据库,并由数据处理中心对上传数据进行接收与清洗,对当前、历史及应用层生成数据进行存储,对有效数据进行处理及分析;计算层是数字孪生架构的核心部分,集成系统模型、校正算法、仿真计算等关键内容,计算层采用“数据驱动+模型驱动”的混合驱动方式,并通过闭环参数校正算法对模型参数进行自主校正,既具备实时感知系统的能力,保留了模型的物理特性,又提升了模型精度;应用层是在数字孪生模型校正结束并稳定运行后,根据模型结果及实测数据进行的运行决策及设计优化应用,决策优化结果存储到数据层,并可以直接作用于物理层进行决策指导。
从功能上看,感知层和通信层是数字孪生模型感知真实系统的媒介,为数据驱动方式建立了基础;数据层是数字孪生应用数字技术的关键,对数字孪生系统整体的性能有着重要影响;计算层作为虚拟空间上数字孪生模型的寄生地,集成了牵引供电系统的等效模型、仿真过程、校正算法及计算程序,是数字孪生架构的核心;应用层是数字孪生模型进行相关研究的平台,直接体现了牵引供电系统中数字孪生的应用价值。
现阶段,城市轨道交通的数据采集及监视控制系统(supervisory control and data acquisition,SCADA)和列车控制系统的传感器及采集设备可以满足数字孪生的量测需要,但由于不同类型数据的采集并不基于同一系统,因此各类型数据的同步采集还难以满足。此外,通过多传感器、高采样率采集的信息数量庞大,数据层中海量数据的接收、清洗、存储、处理极其复杂,需要依托高性能的大数据分析及云端存储平台来实现。然而,在当下建设智慧城轨的时代背景下,物联网、人工智能、云计算等技术已经逐渐开始应用于城市轨道交通领域,随着城轨物联网及云端大数据处理平台的全面建成,数字孪生在数据采集及处理技术方面难题将得到解决。
2模型参数校正
在数字孪生架构下,信息实时交互和数据驱动让模型具备了实时感知系统变化的能力。参数校正作为计算层的核心算法,目的是根据真实系统状态自主修正模型参数,提升潮流计算的精度。本文设计了一种基于粒子群优化算法(particle swarm optimization,PSO)的“子系统参数辨识+整体参数校正”混合闭环在线参数校正算法,以保证参数校正的计算速度及收敛性,实现数字孪生模型的参数在线自主校正。
2.1 PSO算法
PSO是模拟鸟群觅食行为的一种并行群智能优化算法,能够通过自我学习和群体学习两种方式不断调整粒子位置和速度,进行最优解的搜索。PSO具备解决非线性、多峰值复杂问题的全局优化能力,适用于牵引供电系统这类复杂非线性多变量系统的参数校正。
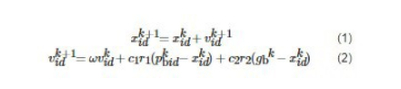
PSO在解空间上随机生成初始粒子群,种群中每个粒子对应一个可行解,粒子以一定的速度在解空间内进行搜索,并根据自身历史最优位置和种群最优位置不断调整搜索方向,直到找到最优解。粒子位置及速度的更新算式为:

式中:x为对应粒子的位置;v为对应粒子的速度;d为粒子代表的解的维度;k为迭代次数;i为粒子标号,i=1,2,…,m;m为种群数量;pb为粒子目前搜索到的自身最优位置;gb为整个粒子群当前搜索到的最优位置;ω为速度惯性权重;c1、c2为学习因子,代表粒子自我总结和种群学习的能力;r1、r2为[0,1]区间上的随机数。
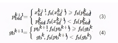
粒子位置的优劣用适应度函数fs(x)来度量,粒子位置更新后求出相应的适应度函数值,与之前所找到的粒子个体最优值及群体最优值进行比较,从而更新pb和gb的值,更新算式如下:

在进行一定迭代次数后,粒子群将收敛到某一最优位置,图3给出了PSO算法的计算流程图。

图3 PSO计算流程图图3 PSO计算流程图
2.2混合闭环在线参数校正算法
虽然PSO具备对复杂系统参数全局寻优的能力,但将PSO直接应用于牵引供电系统整体参数校正时,仍然存在着一些问题:
1)PSO应用于解空间维度较高的最优化问题时,容易陷入早熟收敛和局部最优。
2)PSO随机生成的粒子群参数极容易造成采用牛顿拉夫逊迭代算法[24]的潮流计算模型在计算过程中不收敛。
3)PSO直接应用于复杂系统参数校正时,需要的种群数量和迭代次数较大,参数校正计算时间成本高。
针对这些问题,本文将牵引供电系统划分为多个子系统,采用“子系统参数辨识+整体参数校正”的混合参数校正策略,如图4所示。混合参数校正策略首先根据实际子系统的状态测量值对每个子系统进行并行的PSO参数辨识,将辨识结果作为整体系统参数的初值,再根据潮流状态测量结果与仿真结果的差异,对系统参数进行初值附近的闭环PSO全局寻优,实现参数校正功能。混合校正方式下,子系统由于结构简单,待辨识参数少,能够快速得到较准确的参数初值;整体参数校正在较准确的参数初值附近进行闭环PSO,既解决了初始随机粒子群参数可能造成潮流计算不收敛的问题,又极大缩小了寻优范围,降低了系统参数校正的计算时间成本,能够达到较好的校正效果。

图4参数校正策略示意图
2.3子系统参数辨识
牵引供电系统的子系统按照牵引所、接触网、钢轨等主要构成部分进行划分,图5展示了单牵引供电区间子系统的划分方式,主要分为牵引所1、牵引所2、上行线路接触网、下行线路接触网等4个子系统。其中,牵引所等效为电压源串联电阻支路,等效电气参数为牵引所的空载电压Udc及等效内阻Rd,上下行线路接触网等效为电阻支路,等效电气参数分别为Roscu和Roscd,列车等效为运行功率源,P表示列车功率,x表示列车位置,L表示区间长度,Id1f1、Id1f2、Id1f3、Id1f4表示牵引变电所在两侧上下行供电区间的4路直流馈线电流。

图5直流牵引供电子系统示意图
牵引变电所子系统的辨识参数为空载电压Udc及等效内阻Rd,测量状态量为牵引所端电压Ud及电流Id,PSO适应度函数表示为

式中:上标m表示测量值;j表示第j个测量采样点;N为单位时间内的总采样个数。各物理量取标幺值计算。
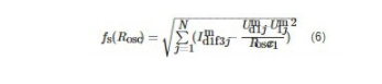
接触网子系统的辨识参数为单位等效电阻Rosc,以上行接触网为例,测量状态量可选为牵引所1端电压Ud1,牵引所1上行接触网馈线电流Id1f3,上行列车1端电压U1及位置x1,PSO适应度函数表示为

2.4整体参数校正
牵引供电系统的整体参数为各个子系统参数的集合,测量状态量为体现直流供电系统潮流分布的牵引所端电压Ud及电流Id,PSO适应度函数可以表示为

式中:上标s表示仿真结果;i表示第i个牵引变电所;Z为牵引变电所的数目。
整体参数校正的PSO适应度函数等于模型结果与实际测量结果的标准差,是模型的误差指标,反映模型与真实系统的近似程度。但由于测量误差的存在,适应度函数值只能尽量趋近于0,因此模型的自主参数校正应设置适当的误差接受范围,使数字孪生模型在真实系统参数明显变化时及时进行自主校正,参数校正后能够稳定运行。
3仿真验证
为了验证数字孪生模型“子系统参数辨识+整体参数校正”混合闭环在线参数校正算法的有效性,本文以Matlab作为数字孪生计算层的基础软件,建立了图1所示的数字孪生模型,模型规模为3个牵引所构成的2段牵引供电区间系统。
数字孪生模型待校正参数包括:
1)3个牵引所的空载电压及等效内阻:Udc1、Rd1;Udc2、Rd2;Udc3、Rd3。
2)2段供电区间的上下行线路接触网单位等效电阻:Roscu1、Roscd1;Roscu2、Roscd2。
测量状态量包括:
1)3个牵引所的端电压及电流:Ud1、Id1;Ud2、Id2;Ud3、Id3。
2)各牵引所的上下行线路接触网馈线电流:Id1f3、Id1f4、Id2f1、Id2f2、Id2f3、Id2f4、Id3f1、Id3f2。
3)2段供电区间内上下行线路列车的电压、位置及功率:U1、x1、P1;U2、x2、P2;U3、x3、P3;U4、x4、P4。
选取被测量状态量的采样频率为1000 Hz,PSO使用的总采样个数N=5,数据间隔为10,初始种群为100,对各子系统进行参数辨识。图6展示了牵引所1参数Udc1辨识过程的收敛情况,在迭代次数Iiter约30次后,PSO收敛到稳定程度,达到较好的辨识效果。通过测试,各子系统PSO并行完成辨识所需的时间成本仅为微秒级。

图6子系统PSO收敛过程
图7展示了当各子系统参数辨识结果直接作为模型参数时,模型中牵引所1的电压、电流仿真结果与采集数据在180s内的对比情况。结果表明,以子系统参数辨识结果作为系统参数时,模型的仿真结果与采样数据仍然有着较大的差距,原因主要是采样数据的测量误差造成了辨识参数及模型计算的误差累积,根据式(8)可计算得到此情况下模型平均误差为0.1022。

图7子系统参数校正结果
进一步采用整体参数闭环校正对系统参数进行PSO全局寻优。为了观察整体参数校正的效果,仿真在子系统参数辨识后第60s进行整体的参数校正,图8展示了混合参数校正后数字孪生模型中牵引所1的电压、电流仿真结果,并与子系统参数辨识后模型仿真结果及采样数据进行了对比。混合参数校正后,模型的仿真结果高度逼近采样数据,并且能够以很小的误差稳定运行。

图8混合参数校正结果
图9展示了整体闭环参数校正过程中模型误差的变化情况。根据式(8)可得到混合参数校正后模型平均误差为0.0315,较整体参数校正前降低了69.17%,高度接近采样数据,验证了混合校正方法的有效性。

图9模型误差的变化情况
4结论
1)在实际运行过程中,城轨牵引供电系统的列车负荷受到环境因素干扰,设备参数也存在时间演化。以往所建立的传统模型采取预设条件、固定参数的离线建模方式固然难以保证潮流结果的精度。数字孪生技术架构于物联网、高速通信、大数据分析、智能算法等先进技术体系,具有实时交互、数据驱动、闭环校正等突出优点,为城轨牵引供电系统建模提供了新的思路。本文将数字孪生技术引入城轨供电领域,提出了一种模型与数据混合驱动的建模方法,通过建立城轨牵引供电系统的数字孪生体系架构,采用负荷数据实测输入及模型参数主动校正的方法,针对性地弥补传统模型的缺陷,提升潮流计算精度,构建高保真模型,对牵引供电系统运行状态精准分析、极限能力仿真等应用具有实际意义。
2)模型参数是影响系统潮流计算结果的主要因素,因此本文重点研究了数字孪生模型的参数自主校正方法,并提出了一种基于PSO算法的“子系统参数辨识+整体系统参数校正”混合闭环在线参数校正策略,以保证模型在系统参数变化后的响应速度和精度。仿真结果表明,混合校正策略下,各个子系统能够快速完成参数的初始辨识,缩小系统整体的参数寻优范围,解决初始随机粒子群参数可能造成潮流计算不收敛的问题,降低参数校正的时间成本,同时保留PSO算法的全局寻优能力,达到精度高、响应快、收敛性强的参数校正效果。
3)当前城轨牵引供电系统数字孪生建模正处于起步探索阶段,仍存在很多技术难题需要继续攻克。例如本文中列车负荷及供电系统状态的实测数据量庞大,并且呈现高维度的空间分布及时间序列特点,从硬件架构和软件算法的角度,如何保证海量数据的高速传输及高效处理将是对城轨供电系统数字孪生架构中数据层及传输层的进一步深入探讨。此外,系统降阶、PSO及其他智能算法的收敛速度优化等研究都将从不同层面推动数字孪生模型的发展,这也将作为本文的后续工作继续进行。
