信息化观察网
首页
资讯
活动
方案
访谈
大讲堂
人工智能
5G
云计算
大数据
信息安全
物联网
区块链
密码
数字孪生
投稿
搜索资讯
首页
资讯
活动
方案
访谈
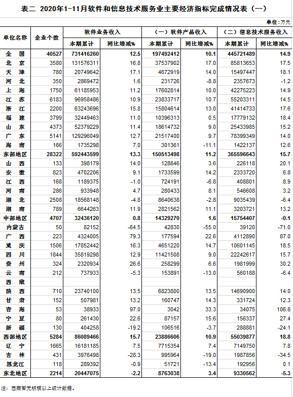
2020年1-11月软件和信息技术服务业主要指标分省表
2020-12-24 11:42
工信部
运行监测协调局
2020年1-11月软件和信息技术服务业主要指标分省表如下。
THE
END
免责声明:凡注明为其它来源的信息均转自其它平台,由网友自主投稿和发布、编辑整理上传,对此类作品本站仅提供交流平台,不为其版权负责。本网站对有关资料所引致的错误、不确或遗漏,概不负任何法律责任。若有来源标注错误或侵犯了您的合法权益,请作者持权属证明与本站联系,我们将及时更正、删除,谢谢。联系邮箱:xiali@infoobs.com
评论请先
登录
~
最新评论
(评论仅代表用户观点)
更多
暂无评论
本月热门
虚实共振:数字孪生如何重塑6G网络范式
2月2日
2月1日起,一批国家标准将实施
2月2日
大厂AI的春节对决:流量、心智与生态
2月2日
英伟达开放物理AI模型助力机器人与自动驾驶发展
2月2日
Meta CEO 扎克伯格:人工智能是社媒的未来
2月2日
精选文章
芯软智控入驻江苏“5G+工业互联网”公共服务平台
4月25日
数据安全迎“大考” 谁先“迈”出关键一步?
9月29日
QuestMobile2024 中国移动互联网秋季大报告:一线、新一线、二线城市月活用户重回净增,数字增长“内生动力”已然改变!
11月5日
顾玮:SD-WAN技术赋能企业数字化转型
4月23日
激荡创新之力,赋能数字中国 | 三维天地荣膺2022中国行业数字化年度十大领军企业
1月17日
再获权威认可!华磊迅拓通过两化融合管理体系A级评定
8月1日
热点资讯
《行业数智化转型范式集(2026)》征集活动正式启动
1月30日
连续两度入选胡润全球瞪羚榜,镕铭微电子为何成为硬科技投资焦点?
1月29日
热度持续!法国博主发布实拍 IOTE 物联网展,2026 开年带火中国物联全球声量!
1月29日
数智赋能 全域融合|2026(第三届)数据要素融合与应用创新峰会即将在京启幕
1月29日
深嘉联(SJHUB)与慧派海外仓达成战略合作构建全链路跨境出海服务体系
1月27日
上一篇
纽约宣布将暂时禁止学校使用面部识别技术,直到2022年7月
下一篇
2020年1-11月软件业经济运行情况
微信扫码打开后,
点击手机屏幕右上角分享
下载图片
2020年1-11月软件和信息技术服务业主要指标分省表
2026 信息化观察网
长按扫描二维码阅读原文